Validity and Reliability of Discrete Movement Assessments in HumanTrak
Available in:
EN
Study Information
Collings, T. J., Devaprakash, D., Pizzolato, C., Lloyd, D. G., Barrett, R. S., Lenton, G. K., Thomeer, L. T., & Bourne, M. N. (2024). Inclusion of a skeletal model partly improves reliability of lower limb joint angles derived from a markerless depth camera. Journal of Biomechanics, 170, 112160.
https://doi.org/10.1016/j.jbiomech.2024.112160
Purpose of the Study
The study aimed to assess the validity and reliability of lower limb joint angle measurements using a single markerless depth camera, specifically the Azure Kinect, across various discrete movement assessments. It compared direct kinematic calculations with inverse kinematic methods that incorporate a skeletal model to determine which approach provides more reliable data for clinical and athletic applications. The Azure Kinect is the same camera used by HumanTrak.
Primary Objective: Compare joint angles and between-day reliability of direct and inverse kinematic methods recorded using a single markerless depth camera against gold-standard references for the following tasks:
| Category | Movement Tasks |
| Currently Available in HumanTrak |
|
| Not Currently Available in HumanTrak |
|
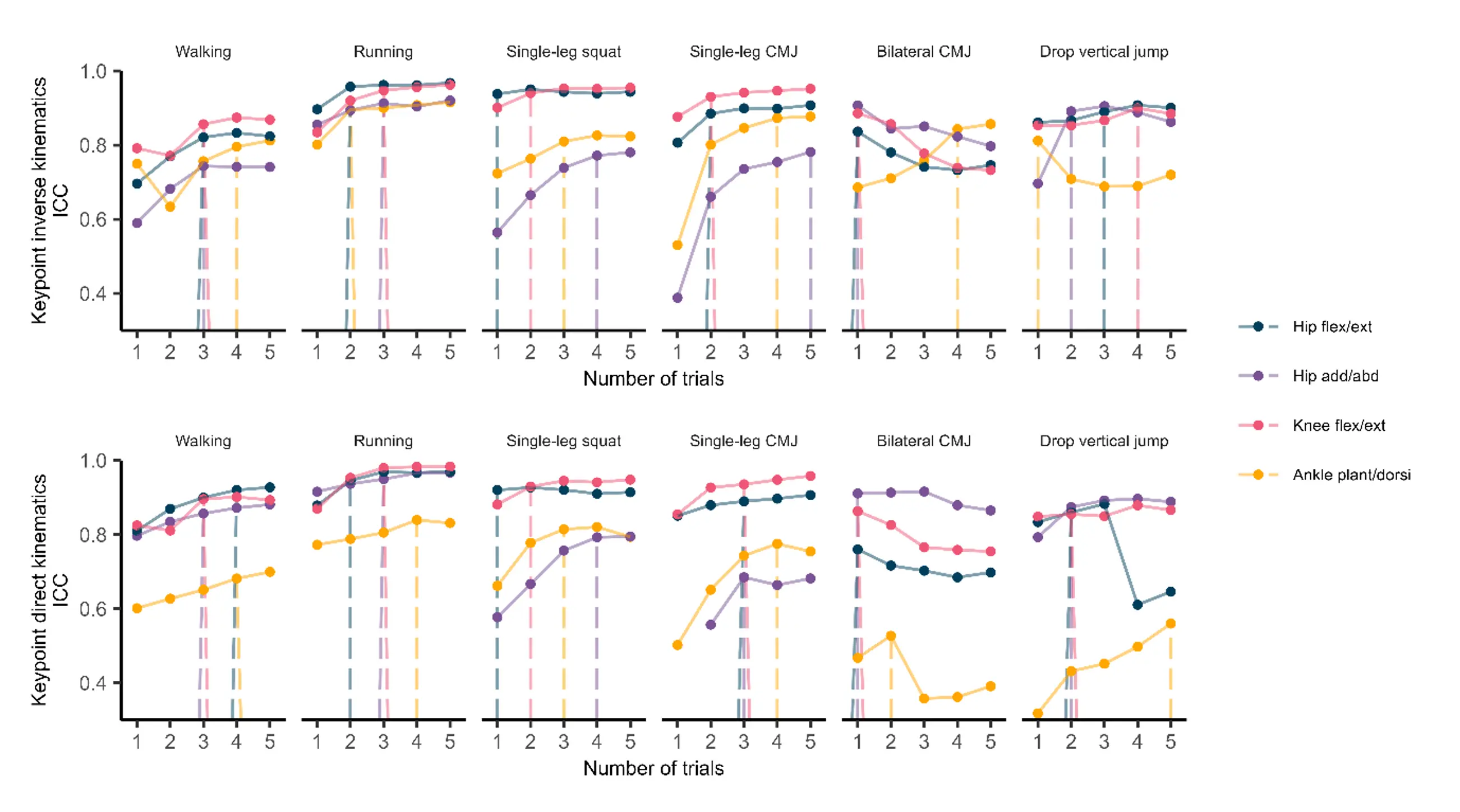
Secondary Objective: Identify the minimum number of trials required to maximize reliability for each task and kinematic method, ensuring an efficient and effective data collection process.
Note: HumanTrak is designed to assess discrete, controlled movements performed within a fixed capture area. It does not currently provide gait analysis.
Methods
Eighteen healthy adults (5 females and 13 males; age = 28.1 ± 3.9 years, mass = 79.7 ± 15.9kg, height = 176.5 ± 11.0cm) participated in the study. Each participant attended two 60-minute testing sessions at a biomechanics laboratory approximately one week apart. Data were collected using an Azure Kinect depth camera (Microsoft, Washington, US) and a 12-camera marker-based optical system (Vicon, Oxford, UK). The depth camera was positioned two to three meters in front of the participant, who faced the camera. They performed a series of movement tasks, including:
- Treadmill walking
- Treadmill running
- Single-leg squat
- Single-leg countermovement jump (CMJ)
- Bilateral CMJ
- Drop vertical jumps
Five trials of each jumping task and 35 seconds of walking and running were recorded, with 30-60 seconds of rest between trials. Key point positions were obtained from the Azure Kinect and processed to determine lower limb joint angles using direct kinematics and inverse kinematics with a skeletal model in OpenSim. Direct kinematics calculated joint angles based on key point-defined segments, while inverse kinematics used a full-body musculoskeletal model constrained by physiological joint movements. Marker-based data from the Vicon system served as a “gold standard” reference.
Statistical analyses compared lower limb joint angles from the two methods using one-dimensional Statistical Parametric Mapping (SPM) to identify significant differences. Between-day reliability was assessed with Intraclass Correlation Coefficients (ICCs), Mean Absolute Error (MAE) and Minimal Detectable Change (MDC).
The number of trials required to maximize reliability was determined by calculating ICC values using one to five trials per participant, identifying the minimum number of trials needed to achieve an ICC within 0.025 of the maximum ICC.
Key Findings
…direct measurements from the Azure depth camera provided high between-day reliability for measuring lower limb joint angles across various movement tasks…[with] ICCs ranging from 0.80 to 0.93…
Validity
Azure Kinect vs. Azure Kinect with Inverse Kinematics vs. Vicon
The results indicate that direct measurements from the Azure Kinect camera closely align with data filtered using inverse kinematics and Vicon data across most movements and joint angles, suggesting high accuracy and reliability (Figure 1).
The consistent overlap between Azure Kinect angles and Vicon angles, coupled with low variability, highlights the precision of the Azure Kinect camera. This method demonstrates robust performance in capturing joint movements, making it a valuable tool for clinicians and researchers assessing lower limb joint motion during controlled movement tasks. Overall, angles measured using the Azure Kinect camera provide a reliable and accurate approach for analyzing lower-limb movements.

Reliability
Azure Kinect vs. Azure Kinect with Inverse Kinematics vs. Vicon
The Azure Kinect method performs particularly well in this comparison, consistently showing lower MAE for most movements and joints, indicating high reliability. It excels in knee flexion/extension during walking and hip adduction/abduction during single-leg squats, where it has the lowest error compared with other methods. The Azure Kinect method generally exhibits high ICC across movements and joints, particularly for knee flexion/extension during single-leg CMJ, demonstrating strong reliability.
Additionally, the Azure Kinect method shows excellent sensitivity with low MDC values for hip adduction/abduction during walking and knee flexion/extension during bilateral CMJ. Overall, the Azure Kinect method stands out for its accuracy, consistency and sensitivity, making it a reliable and precise tool for assessing range of motion and controlled functional tasks in clinical and research settings.

Azure Kinect Camera: Session 1 vs. Session 2
The study found that direct measurements from the Azure depth camera provided high between-day reliability for measuring lower limb joint angles across various movement tasks. This method demonstrated ICCs ranging from 0.80 to 0.93, indicating strong reliability.
MAE for joint angles was approximately 4.8°, and MDC ranged widely but showed improvements as the task became less dynamic. Azure Kinect demonstrated a high degree of repeatability in walking and running tasks, with ICCs close to those obtained from the Vicon system. Although there were differences in specific joint angle measurements, the Azure Kinect method provided reliable data suitable for tracking biomechanical changes over time.
For the secondary objective, the study determined that performing two to four trials was sufficient to achieve reliable measurements for most tasks. This efficiency in data collection is crucial for practical application, making the Azure Kinect method a viable and reliable option for discrete biomechanical assessments in applied settings.

VALD’s Solution
Azure Kinect depth camera, leveraged by HumanTrak, demonstrated robust reliability for clinical and athletic assessments. These findings support the use of VALD’s system across various settings, offering an efficient, reliable and non-invasive solution for capturing precise biomechanical data.
The Azure Kinect’s validated reliability and minimal trial requirements reinforce HumanTrak’s practicality and effectiveness as a 3D motion capture system for discrete movement assessments. HumanTrak is an ideal tool for both clinical applications and athletic performance monitoring, providing reliable data that professionals can trust.